|
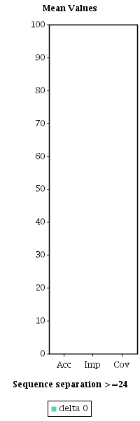
Mean values for the proteins of this week
|
Considering Len/5 top pairs and a sequence separation >=24 between the residues of the pair
 |
 |
| Server | Acc (%) | Imp | Cov (%) | Xd |
| CMAPPROBANDF | 0.00 | 0.00 | 0.00 | 0.83 |
|
|
| | Individual values for each protein of this week
|
| Protein | Acc (%) | Imp | Cov (%) | Xd | Download results in text format |
| 1ycy:A | 0.00 | 0.00 | 0.00 | 0.83 | DOWNLOAD |
|
|
| Mean accuracy comparison for CMAPPROBANDF among the weeks of the year 2005 |
Considering Len/5 top pairs and a sequence separation >=24 between the residues of the pair |
 |