|
Mean values for the proteins of this week
| 2a6q:A | 2a7y:A | 2amy:A | 1wmm:A | |
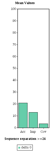
Considering Len/5 top pairs and a sequence separation >=24 between the residues of the pair
 |
 |
| Server | Acc (%) | Imp | Cov (%) | Xd |
| PROFCON | 20.88 | 12.93 | 3.32 | 8.48 |
|
|
| | Individual values for each protein of this week
|
| Protein | Acc (%) | Imp | Cov (%) | Xd | Download results in text format |
| 2a6q:A | 0.00 | 0.00 | 0.00 | -0.55 | DOWNLOAD |
| 2a7y:A | 0.00 | 0.00 | 0.00 | -0.59 | DOWNLOAD |
| 2amy:A | 49.00 | 40.08 | 8.60 | 21.41 | DOWNLOAD |
| 1wmm:A | 34.50 | 11.63 | 4.70 | 13.64 | DOWNLOAD |
|
|
| Mean accuracy comparison for PROFCON among the weeks of the year 2005 |
Considering Len/5 top pairs and a sequence separation >=24 between the residues of the pair |
 |