|
Mean values for the proteins of this week
|
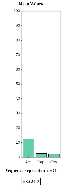
Considering Len/5 top pairs and a sequence separation >=24 between the residues of the pair
 |
 |
| Server | Acc (%) | Imp | Cov (%) | Xd |
| WURST | 12.50 | 2.48 | 2.20 | 3.25 |
|
|
| | Individual values for each protein of this week
|
| Protein | Acc (%) | Imp | Cov (%) | Xd | Download results in text format |
| 2a65:A | 0.00 | 0.00 | 0.00 | -1.91 | DOWNLOAD |
| 1zeq:X | 25.00 | 4.96 | 4.40 | 8.41 | DOWNLOAD |
|
|
| Mean accuracy comparison for WURST among the weeks of the year 2005 |
Considering Len/5 top pairs and a sequence separation >=24 between the residues of the pair |
 |