|
Mean values for the proteins of this week
|
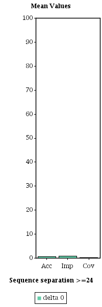
Considering Len/5 top pairs and a sequence separation >=24 between the residues of the pair
 |
 |
| Server | Acc (%) | Imp | Cov (%) | Xd |
| CMAPPROCON | 0.50 | 0.67 | 0.05 | 0.77 |
|
|
| | Individual values for each protein of this week
|
| Protein | Acc (%) | Imp | Cov (%) | Xd | Download results in text format |
| 2a65:A | 1.00 | 1.34 | 0.10 | 2.52 | DOWNLOAD |
| 1zeq:X | 0.00 | 0.00 | 0.00 | -0.97 | DOWNLOAD |
|
|
| Mean accuracy comparison for CMAPPROCON among the weeks of the year 2005 |
Considering Len/5 top pairs and a sequence separation >=24 between the residues of the pair |
 |