|
Mean values for the proteins of this week
|
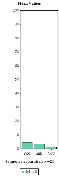
Considering Len/5 top pairs and a sequence separation >=24 between the residues of the pair
 |
 |
| Server | Acc (%) | Imp | Cov (%) | Xd |
| PDGCON | 4.70 | 3.29 | 1.25 | 2.41 |
|
|
| | Individual values for each protein of this week
|
| Protein | Acc (%) | Imp | Cov (%) | Xd | Download results in text format |
| 2a13:A | 9.40 | 6.58 | 2.50 | 4.89 | DOWNLOAD |
| 1zoy:D | 0.00 | 0.00 | 0.00 | -0.07 | DOWNLOAD |
|
|
| Mean accuracy comparison for PDGCON among the weeks of the year 2005 |
Considering Len/5 top pairs and a sequence separation >=24 between the residues of the pair |
 |