|
Mean values for the proteins of this week
|
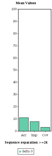
Considering Len/5 top pairs and a sequence separation >=24 between the residues of the pair
 |
 |
| Server | Acc (%) | Imp | Cov (%) | Xd |
| GPCPRED | 11.10 | 7.79 | 3.03 | 5.34 |
|
|
| | Individual values for each protein of this week
|
| Protein | Acc (%) | Imp | Cov (%) | Xd | Download results in text format |
| 2a13:A | 33.30 | 23.38 | 9.10 | 15.98 | DOWNLOAD |
| 2bho:A | 0.00 | 0.00 | 0.00 | 0.21 | DOWNLOAD |
| 1zoy:D | 0.00 | 0.00 | 0.00 | -0.18 | DOWNLOAD |
|
|
| Mean accuracy comparison for GPCPRED among the weeks of the year 2005 |
Considering Len/5 top pairs and a sequence separation >=24 between the residues of the pair |
 |