|
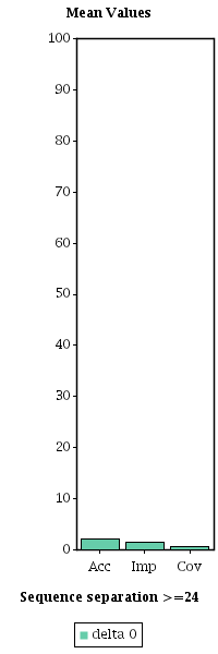
Mean values for the proteins of this week
|
Considering Len/5 top pairs and a sequence separation >=24 between the residues of the pair
 |
 |
| Server | Acc (%) | Imp | Cov (%) | Xd |
| CMAPPROBANDF | 2.03 | 1.42 | 0.57 | 2.86 |
|
|
| | Individual values for each protein of this week
|
| Protein | Acc (%) | Imp | Cov (%) | Xd | Download results in text format |
| 2a13:A | 6.10 | 4.25 | 1.70 | 6.89 | DOWNLOAD |
| 2bho:A | 0.00 | 0.00 | 0.00 | 6.83 | DOWNLOAD |
| 1zoy:D | 0.00 | 0.00 | 0.00 | -5.15 | DOWNLOAD |
|
|
| Mean accuracy comparison for CMAPPROBANDF among the weeks of the year 2005 |
Considering Len/5 top pairs and a sequence separation >=24 between the residues of the pair |
 |