|
Mean values for the proteins of this week
|
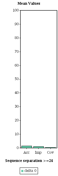
Considering Len/5 top pairs and a sequence separation >=24 between the residues of the pair
 |
 |
| Server | Acc (%) | Imp | Cov (%) | Xd |
| BMAPPRO | 1.50 | 1.06 | 0.40 | 8.35 |
|
|
| | Individual values for each protein of this week
|
| Protein | Acc (%) | Imp | Cov (%) | Xd | Download results in text format |
| 2a13:A | 3.00 | 2.12 | 0.80 | 6.28 | DOWNLOAD |
| 2bho:A | 0.00 | 0.00 | 0.00 | 10.43 | DOWNLOAD |
|
|
| Mean accuracy comparison for BMAPPRO among the weeks of the year 2005 |
Considering Len/5 top pairs and a sequence separation >=24 between the residues of the pair |
 |