|
Mean values for the proteins of this week
| 1vrq:D | 1zcd:A | 1zlh:B | 1yzb:A | |
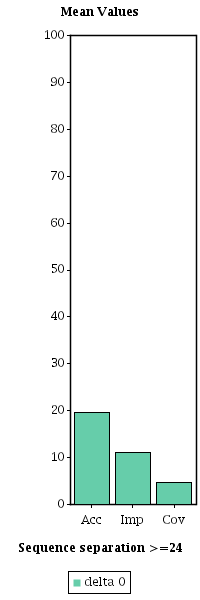
Considering Len/5 top pairs and a sequence separation >=24 between the residues of the pair
 |
 |
| Server | Acc (%) | Imp | Cov (%) | Xd |
| BMAPPRO | 19.60 | 10.94 | 4.62 | 12.12 |
|
|
| | Individual values for each protein of this week
|
| Protein | Acc (%) | Imp | Cov (%) | Xd | Download results in text format |
| 1vrq:D | 15.80 | 5.14 | 4.30 | 11.40 | DOWNLOAD |
| 1zcd:A | 10.40 | 12.00 | 1.50 | 8.82 | DOWNLOAD |
| 1zlh:B | 13.30 | 5.67 | 6.70 | 6.87 | DOWNLOAD |
| 1yzb:A | 38.90 | 20.96 | 6.00 | 21.38 | DOWNLOAD |
|
|
| Mean accuracy comparison for BMAPPRO among the weeks of the year 2005 |
Considering Len/5 top pairs and a sequence separation >=24 between the residues of the pair |
 |