|
Mean values for the proteins of this week
| 1y96:A | 1wz3:A | 1xwr:A | 1zxu:A | |
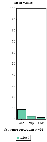
Considering Len/5 top pairs and a sequence separation >=24 between the residues of the pair
 |
 |
| Server | Acc (%) | Imp | Cov (%) | Xd |
| GPCPRED | 8.88 | 2.69 | 1.60 | 8.17 |
|
|
| | Individual values for each protein of this week
|
| Protein | Acc (%) | Imp | Cov (%) | Xd | Download results in text format |
| 1y96:A | 30.80 | 7.42 | 4.90 | 10.44 | DOWNLOAD |
| 1wz3:A | 0.00 | 0.00 | 0.00 | 6.72 | DOWNLOAD |
| 1xwr:A | 0.00 | 0.00 | 0.00 | 4.00 | DOWNLOAD |
| 1zxu:A | 4.70 | 3.35 | 1.50 | 11.52 | DOWNLOAD |
|
|
| Mean accuracy comparison for GPCPRED among the weeks of the year 2005 |
Considering Len/5 top pairs and a sequence separation >=24 between the residues of the pair |
 |