|
Mean values for the proteins of this week
| 1y96:A | 1wz3:A | 1xwr:A | 1zxu:A | |
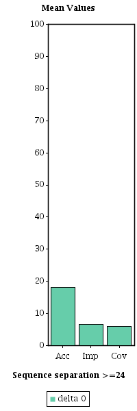
Considering Len/5 top pairs and a sequence separation >=24 between the residues of the pair
 |
 |
| Server | Acc (%) | Imp | Cov (%) | Xd |
| FUGUE | 18.08 | 6.51 | 5.85 | 4.34 |
|
|
| | Individual values for each protein of this week
|
| Protein | Acc (%) | Imp | Cov (%) | Xd | Download results in text format |
| 1y96:A | 64.70 | 15.60 | 13.60 | 19.78 | DOWNLOAD |
| 1wz3:A | 5.30 | 8.76 | 9.10 | 1.20 | DOWNLOAD |
| 1xwr:A | 0.00 | 0.00 | 0.00 | -3.94 | DOWNLOAD |
| 1zxu:A | 2.30 | 1.68 | 0.70 | 0.34 | DOWNLOAD |
|
|
| Mean accuracy comparison for FUGUE among the weeks of the year 2005 |
Considering Len/5 top pairs and a sequence separation >=24 between the residues of the pair |
 |