|
Mean values for the proteins of this week
| 1y96:A | 1wz3:A | 1xwr:A | 1zxu:A | |
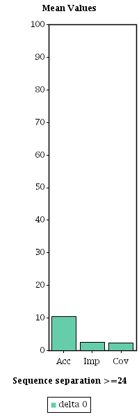
Considering Len/5 top pairs and a sequence separation >=24 between the residues of the pair
 |
 |
| Server | Acc (%) | Imp | Cov (%) | Xd |
| CMAPPROCON | 10.30 | 2.48 | 2.15 | 9.43 |
|
|
| | Individual values for each protein of this week
|
| Protein | Acc (%) | Imp | Cov (%) | Xd | Download results in text format |
| 1y96:A | 41.20 | 9.93 | 8.60 | 14.09 | DOWNLOAD |
| 1wz3:A | 0.00 | 0.00 | 0.00 | 10.92 | DOWNLOAD |
| 1xwr:A | 0.00 | 0.00 | 0.00 | 9.62 | DOWNLOAD |
| 1zxu:A | 0.00 | 0.00 | 0.00 | 3.09 | DOWNLOAD |
|
|
| Mean accuracy comparison for CMAPPROCON among the weeks of the year 2005 |
Considering Len/5 top pairs and a sequence separation >=24 between the residues of the pair |
 |