|
Mean values for the proteins of this week
|
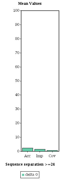
Considering Len/5 top pairs and a sequence separation >=24 between the residues of the pair
 |
 |
| Server | Acc (%) | Imp | Cov (%) | Xd |
| PDGCON | 2.20 | 1.30 | 0.50 | 2.29 |
|
|
| | Individual values for each protein of this week
|
| Protein | Acc (%) | Imp | Cov (%) | Xd | Download results in text format |
| 1w1n:A | 0.00 | 0.00 | 0.00 | -2.20 | DOWNLOAD |
| 1xl3:A | 2.40 | 2.34 | 0.70 | 5.09 | DOWNLOAD |
| 1yzs:A | 4.20 | 1.56 | 0.80 | 3.98 | DOWNLOAD |
|
|
| Mean accuracy comparison for PDGCON among the weeks of the year 2005 |
Considering Len/5 top pairs and a sequence separation >=24 between the residues of the pair |
 |