|
Mean values for the proteins of this week
|
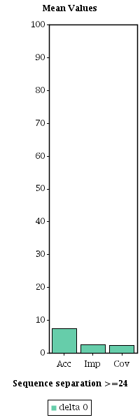
Considering Len/5 top pairs and a sequence separation >=24 between the residues of the pair
 |
 |
| Server | Acc (%) | Imp | Cov (%) | Xd |
| CMAPPRO | 7.40 | 2.53 | 2.20 | 3.47 |
|
|
| | Individual values for each protein of this week
|
| Protein | Acc (%) | Imp | Cov (%) | Xd | Download results in text format |
| 1y66:A | 0.00 | 0.00 | 0.00 | 1.49 | DOWNLOAD |
| 1y6u:A | 0.00 | 0.00 | 0.00 | -2.26 | DOWNLOAD |
| 1wmi:A | 22.20 | 7.58 | 6.60 | 11.18 | DOWNLOAD |
|
|
| Mean accuracy comparison for CMAPPRO among the weeks of the year 2005 |
Considering Len/5 top pairs and a sequence separation >=24 between the residues of the pair |
 |