|
Mean values for the proteins of this week
| 1u84:A | 1u96:A | 1u5m:A | 1w0h:A | 1ujr:A | 1xi7:A | 1xjh:A | |
Considering Len/5 top pairs and a sequence separation >=24 between the residues of the pair
 |
 |
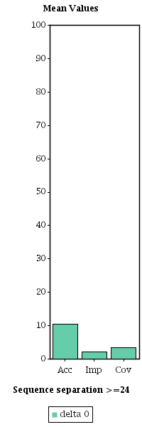
| Server | Acc (%) | Imp | Cov (%) | Xd |
| WURST | 10.31 | 1.95 | 3.30 | 4.12 |
|
|
| | Individual values for each protein of this week
|
| Protein | Acc (%) | Imp | Cov (%) | Xd | Download results in text format |
| 1u84:A | 5.60 | 2.04 | 2.20 | 2.82 | DOWNLOAD |
| 1u96:A | 0.00 | 0.00 | 0.00 | 3.34 | DOWNLOAD |
| 1u5m:A | 0.00 | 0.00 | 0.00 | 2.76 | DOWNLOAD |
| 1w0h:A | 0.00 | 0.00 | 0.00 | 2.70 | DOWNLOAD |
| 1ujr:A | 0.00 | 0.00 | 0.00 | 2.44 | DOWNLOAD |
| 1xi7:A | 8.30 | 0.79 | 3.40 | -1.52 | DOWNLOAD |
| 1xjh:A | 58.30 | 10.81 | 17.50 | 16.31 | DOWNLOAD |
|
|
| Mean accuracy comparison for WURST among the weeks of the year 2004 |
Considering Len/5 top pairs and a sequence separation >=24 between the residues of the pair |
 |