|
Mean values for the proteins of this week
|
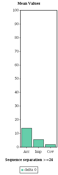
Considering Len/5 top pairs and a sequence separation >=24 between the residues of the pair
 |
 |
| Server | Acc (%) | Imp | Cov (%) | Xd |
| PROFCON | 13.73 | 5.55 | 1.87 | 7.24 |
|
|
| | Individual values for each protein of this week
|
| Protein | Acc (%) | Imp | Cov (%) | Xd | Download results in text format |
| 1s7h:A | 20.00 | 7.54 | 2.30 | 13.42 | DOWNLOAD |
| 1t6a:A | 0.00 | 0.00 | 0.00 | -0.24 | DOWNLOAD |
| 1ryl:A | 21.20 | 9.10 | 3.30 | 8.54 | DOWNLOAD |
|
|
| Mean accuracy comparison for PROFCON among the weeks of the year 2004 |
Considering Len/5 top pairs and a sequence separation >=24 between the residues of the pair |
 |