EVA mirrors  -   Secondary structure  -   Comparative modelling  -   Threading  -   Contacts -   FTP   

EVAcon: results for PDGCON, week_15_2004


** Len=number of residues of the target sequence.



Mean values for the proteins of this week
  1umh:A  

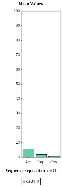
Considering Len/5 top pairs and a sequence separation >=24 between the residues of the pair
          
  Server    Acc (%)    Imp    Cov (%)    Xd  
  PDGCON    5.60    1.82    0.50    -1.96  



Individual values for each protein of this week
  Protein    Acc (%)    Imp    Cov (%)    Xd    Download results in text format  
  1umh:A    5.60    1.82    0.50    -1.96    DOWNLOAD  



Mean accuracy comparison for PDGCON among the weeks of the year 2004

Considering Len/5 top pairs and a sequence separation >=24 between the residues of the pair